CAIE: A Level - Mathematics 9709 - Mechanics

Kinematics of Motion [Horizontal Motion] / Questions Involving One Particle / Non-Uniform Motion

  KEYPOINTS:  
Constant Acceleration Formulae, also known as SUVAT equations
Numerical value of g = 10ms–2 will be used as per CAIE instructions
For a particle moving in a straight line, displacement, velocity and acceleration can be found by
v = \(\frac{ds}{dt}\), a = \(\frac{dv}{dt}\), v = \(\int\)a dt and s = \(\int\)v dt

Past Papers Topic Wise Questions A Level: Mathematics 9709 - Mechanics Kinematics of Motion [Horizontal Motion] | Questions Involving One Particle

1
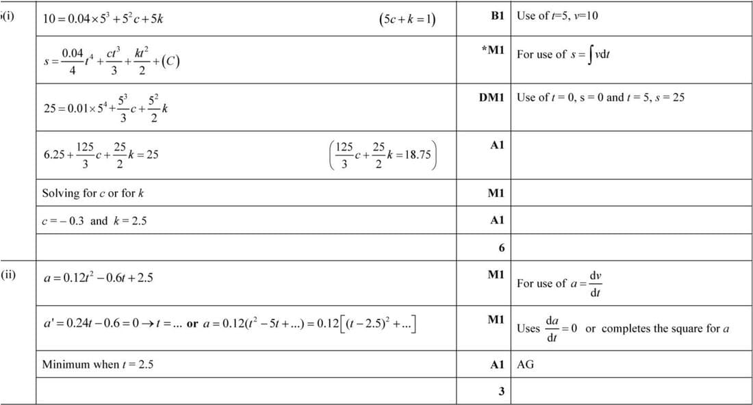
Marking Scheme
2
Marking Scheme
3
Marking Scheme
4
Marking Scheme
5
Marking Scheme
6
Marking Scheme
7
Marking Scheme
8
Marking Scheme
9
Marking Scheme
10
Marking Scheme
11
Marking Scheme
12
Marking Scheme
13
Marking Scheme
14
Marking Scheme
15
Marking Scheme
16
Marking Scheme
17
Marking Scheme
18
Marking Scheme
19
Marking Scheme
20
Marking Scheme
21
Marking Scheme
22
Marking Scheme
23
Marking Scheme
24
Marking Scheme
25
Marking Scheme
26
Marking Scheme
27
Marking Scheme
28
Marking Scheme
29
Marking Scheme
30
Marking Scheme
31
Marking Scheme
32
Marking Scheme
33
Marking Scheme
34
Marking Scheme
35
Marking Scheme
36
Marking Scheme
37
Marking Scheme
38
Marking Scheme
39
Marking Scheme
40
Marking Scheme
41
Marking Scheme
42
Marking Scheme
43
Marking Scheme
44
Marking Scheme
45
Marking Scheme
46
Marking Scheme
47
Marking Scheme
48
Marking Scheme
49
Marking Scheme
50
Marking Scheme
51
Marking Scheme
52
Marking Scheme
53
Marking Scheme
54
Marking Scheme
55
Marking Scheme
56
Marking Scheme
57
Marking Scheme
58
Marking Scheme
59
Marking Scheme
60
Marking Scheme
61
Marking Scheme
62
Marking Scheme
63
Marking Scheme
64
Marking Scheme
65
Marking Scheme
66
Marking Scheme
67
Marking Scheme
68
Marking Scheme
69
Marking Scheme
70
Marking Scheme
71
Marking Scheme
72
Marking Scheme
73
Marking Scheme
74
Marking Scheme
75
Marking Scheme
76
Marking Scheme
77
Marking Scheme
78
Marking Scheme
79
Marking Scheme
80
Marking Scheme
81
Marking Scheme
82
Marking Scheme
83
Marking Scheme
84
Marking Scheme
85
Marking Scheme
86
Marking Scheme
87
Marking Scheme
88
Marking Scheme
89
Marking Scheme