O Level
CAIE > O Level
2
Mathematics D [4024]
Paper 1
Paper 2
A Level
CAIE > A Level
4
Mathematics [9709]
Pure Mathematics 1
Pure Mathematics 3
Mechanics
Probability and Statistics 1
Back
CAIE: A Level - Mathematics 9709 - Mechanics
Work, Power and Energy / Power
KEYPOINTS:
Power is the rate of doing work, and is given by
Power = \(\frac{\text{Work Done}}{\text{Time}}\)
Power = Fv
(Where F is the Force and v is the velocity)
The S.I. unit of power is
Watt (W)
Past Papers Topic Wise Questions
A Level: Mathematics 9709 - Mechanics
Work, Power and Energy | Power
1
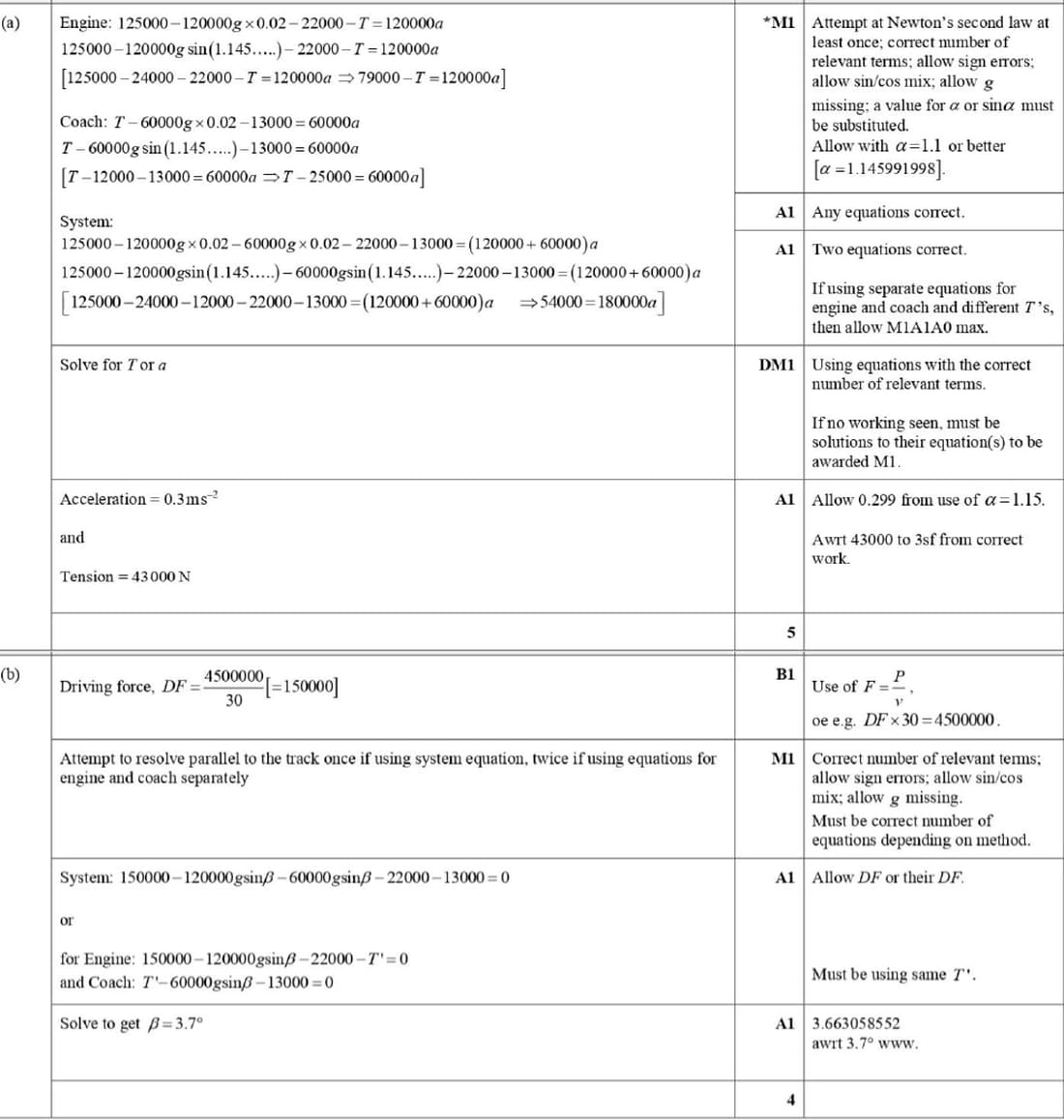
Marking Scheme
Marking Scheme : 1
×
Youtube : 1
×
2
Marking Scheme
Marking Scheme : 2
×
Youtube : 2
×
3
Marking Scheme
Marking Scheme : 3
×
Youtube : 3
×
4
Marking Scheme
Marking Scheme : 4
×
Youtube : 4
×
5
Marking Scheme
Marking Scheme : 5
×
Youtube : 5
×
6
Marking Scheme
Marking Scheme : 6
×
Youtube : 6
×
7
Marking Scheme
Marking Scheme : 7
×
Youtube : 7
×
8
Marking Scheme
Marking Scheme : 8
×
Youtube : 8
×
9
Marking Scheme
Marking Scheme : 9
×
Youtube : 9
×
10
Marking Scheme
Marking Scheme : 10
×
Youtube : 10
×
11
Marking Scheme
Marking Scheme : 11
×
Youtube : 11
×
12
Marking Scheme
Marking Scheme : 12
×
Youtube : 12
×
13
Marking Scheme
Marking Scheme : 13
×
Youtube : 13
×
14
Marking Scheme
Marking Scheme : 14
×
Youtube : 14
×
15
Marking Scheme
Marking Scheme : 15
×
Youtube : 15
×
16
Marking Scheme
Marking Scheme : 16
×
Youtube : 16
×
17
Marking Scheme
Marking Scheme : 17
×
Youtube : 17
×
18
Marking Scheme
Marking Scheme : 18
×
Youtube : 18
×
19
Marking Scheme
Marking Scheme : 19
×
Youtube : 19
×
20
Marking Scheme
Marking Scheme : 20
×
Youtube : 20
×
21
Marking Scheme
Marking Scheme : 21
×
Youtube : 21
×
22
Marking Scheme
Marking Scheme : 22
×
Youtube : 22
×
23
Marking Scheme
Marking Scheme : 23
×
Youtube : 23
×
24
Marking Scheme
Marking Scheme : 24
×
Youtube : 24
×
25
Marking Scheme
Marking Scheme : 25
×
Youtube : 25
×
26
Marking Scheme
Marking Scheme : 26
×
Youtube : 26
×
27
Marking Scheme
Marking Scheme : 27
×
Youtube : 27
×
28
Marking Scheme
Marking Scheme : 28
×
Youtube : 28
×
29
Marking Scheme
Marking Scheme : 29
×
Youtube : 29
×
30
Marking Scheme
Marking Scheme : 30
×
Youtube : 30
×
31
Marking Scheme
Marking Scheme : 31
×
Youtube : 31
×
32
Marking Scheme
Marking Scheme : 32
×
Youtube : 32
×
33
Marking Scheme
Marking Scheme : 33
×
Youtube : 33
×
34
Marking Scheme
Marking Scheme : 34
×
Youtube : 34
×
35
Marking Scheme
Marking Scheme : 35
×
Youtube : 35
×
36
Marking Scheme
Marking Scheme : 36
×
Youtube : 36
×
37
Marking Scheme
Marking Scheme : 37
×
Youtube : 37
×
38
Marking Scheme
Marking Scheme : 38
×
Youtube : 38
×
39
Marking Scheme
Marking Scheme : 39
×
Youtube : 39
×
40
Marking Scheme
Marking Scheme : 40
×
Youtube : 40
×
41
Marking Scheme
Marking Scheme : 41
×
Youtube : 41
×
42
Marking Scheme
Marking Scheme : 42
×
Youtube : 42
×
43
Marking Scheme
Marking Scheme : 43
×
Youtube : 43
×
44
Marking Scheme
Marking Scheme : 44
×
Youtube : 44
×
45
Marking Scheme
Marking Scheme : 45
×
Youtube : 45
×
46
Marking Scheme
Marking Scheme : 46
×
Youtube : 46
×
47
Marking Scheme
Marking Scheme : 47
×
Youtube : 47
×
48
Marking Scheme
Marking Scheme : 48
×
Youtube : 48
×
49
Marking Scheme
Marking Scheme : 49
×
Youtube : 49
×
50
Marking Scheme
Marking Scheme : 50
×
Youtube : 50
×
51
Marking Scheme
Marking Scheme : 51
×
Youtube : 51
×
52
Marking Scheme
Marking Scheme : 52
×
Youtube : 52
×
53
Marking Scheme
Marking Scheme : 53
×
Youtube : 53
×
54
Marking Scheme
Marking Scheme : 54
×
Youtube : 54
×
55
Marking Scheme
Marking Scheme : 55
×
Youtube : 55
×
56
Marking Scheme
Marking Scheme : 56
×
Youtube : 56
×
57
Marking Scheme
Marking Scheme : 57
×
Youtube : 57
×
58
Marking Scheme
Marking Scheme : 58
×
Youtube : 58
×
59
Marking Scheme
Marking Scheme : 59
×
Youtube : 59
×
60
Marking Scheme
Marking Scheme : 60
×
Youtube : 60
×
61
Marking Scheme
Marking Scheme : 61
×
Youtube : 61
×
62
Marking Scheme
Marking Scheme : 62
×
Youtube : 62
×
63
Marking Scheme
Marking Scheme : 63
×
Youtube : 63
×
64
Marking Scheme
Marking Scheme : 64
×
Youtube : 64
×
65
Marking Scheme
Marking Scheme : 65
×
Youtube : 65
×
66
Marking Scheme
Marking Scheme : 66
×
Youtube : 66
×
67
Marking Scheme
Marking Scheme : 67
×
Youtube : 67
×
68
Marking Scheme
Marking Scheme : 68
×
Youtube : 68
×
69
Marking Scheme
Marking Scheme : 69
×
Youtube : 69
×
70
Marking Scheme
Marking Scheme : 70
×
Youtube : 70
×
71
Marking Scheme
Marking Scheme : 71
×
Youtube : 71
×
72
Marking Scheme
Marking Scheme : 72
×
Youtube : 72
×
73
Marking Scheme
Marking Scheme : 73
×
Youtube : 73
×
74
Marking Scheme
Marking Scheme : 74
×
Youtube : 74
×
75
Marking Scheme
Marking Scheme : 75
×
Youtube : 75
×
76
Marking Scheme
Marking Scheme : 76
×
Youtube : 76
×
77
Marking Scheme
Marking Scheme : 77
×
Youtube : 77
×
78
Marking Scheme
Marking Scheme : 78
×
Youtube : 78
×
79
Marking Scheme
Marking Scheme : 79
×
Youtube : 79
×
80
Marking Scheme
Marking Scheme : 80
×
Youtube : 80
×
81
Marking Scheme
Marking Scheme : 81
×
Youtube : 81
×
82
Marking Scheme
Marking Scheme : 82
×
Youtube : 82
×
83
Marking Scheme
Marking Scheme : 83
×
Youtube : 83
×
84
Marking Scheme
Marking Scheme : 84
×
Youtube : 84
×
85
Marking Scheme
Marking Scheme : 85
×
Youtube : 85
×
86
Marking Scheme
Marking Scheme : 86
×
Youtube : 86
×
87
Marking Scheme
Marking Scheme : 87
×
Youtube : 87
×
88
Marking Scheme
Marking Scheme : 88
×
Youtube : 88
×
89
Marking Scheme
Marking Scheme : 89
×
Youtube : 89
×
90
Marking Scheme
Marking Scheme : 90
×
Youtube : 90
×
91
Marking Scheme
Marking Scheme : 91
×
Youtube : 91
×
92
Marking Scheme
Marking Scheme : 92
×
Youtube : 92
×
93
Marking Scheme
Marking Scheme : 93
×
Youtube : 93
×
94
Marking Scheme
Marking Scheme : 94
×
Youtube : 94
×
95
Marking Scheme
Marking Scheme : 95
×
Youtube : 95
×
96
Marking Scheme
Marking Scheme : 96
×
Youtube : 96
×
97
Marking Scheme
Marking Scheme : 97
×
Youtube : 97
×