CAIE: A Level - Mathematics 9709 - Pure Mathematics 1

Integration / Integrate

  KEYPOINTS:  

Past Papers Topic Wise Questions A Level: Mathematics 9709 - Pure Mathematics 1 Integration | Integrate

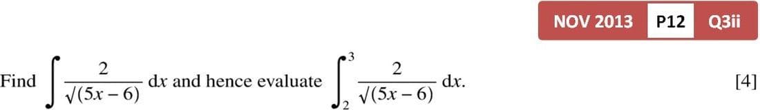
1
Marking Scheme
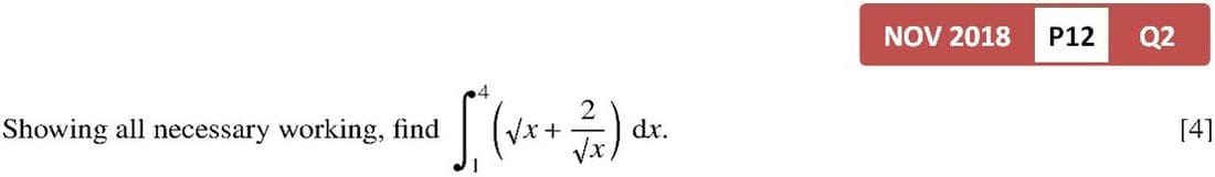
2
Marking Scheme
3
Marking Scheme
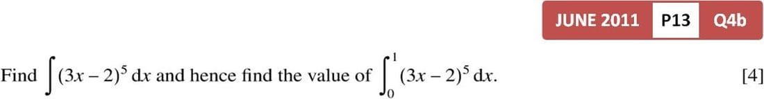
4
Marking Scheme
5
Marking Scheme
6
Marking Scheme
7
Marking Scheme
8
Marking Scheme
9
Marking Scheme
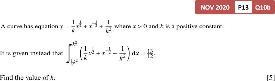
10
Marking Scheme
11
Marking Scheme
12
Marking Scheme