CAIE: A Level - Mathematics 9709 - Pure Mathematics 1

Quadratics / Complex Quadratic Equations

  KEYPOINTS:  

Past Papers Topic Wise Questions A Level: Mathematics 9709 - Pure Mathematics 1 Quadratics | Complex Quadratic Equations

1
Marking Scheme
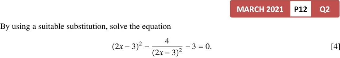
2
Marking Scheme
3
Marking Scheme
4
Marking Scheme
5
Marking Scheme
6
Marking Scheme