CAIE: A Level - Mathematics 9709 - Pure Mathematics 1

Quadratics / Quadratic Equations and Inequalities

Past Papers Topic Wise Questions A Level: Mathematics 9709 - Pure Mathematics 1 Quadratics | Quadratic Equations and Inequalities

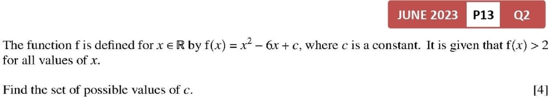
1
Marking Scheme
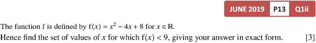
2
Marking Scheme
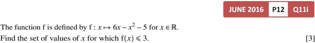
3
Marking Scheme
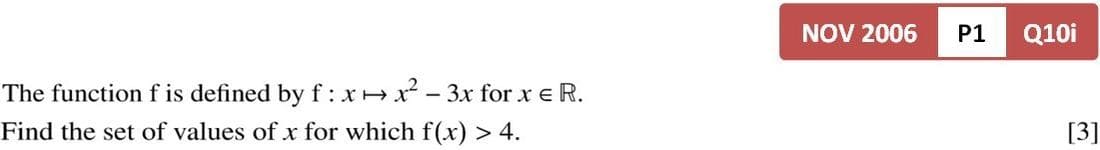
4
Marking Scheme
5
Marking Scheme
6
Marking Scheme
7
Marking Scheme
8
Marking Scheme
9
Marking Scheme
10
Marking Scheme