O Level
CAIE > O Level
2
Mathematics D [4024]
Paper 1
Paper 2
A Level
CAIE > A Level
4
Mathematics [9709]
Pure Mathematics 1
Pure Mathematics 3
Mechanics
Probability and Statistics 1
Back
CAIE: A Level - Mathematics 9709 - Pure Mathematics 3
Differentiation / Simple Differentiation
KEYPOINTS:
EXPONENTIAL FUNCTIONS
If y = e
f(x)
, then \(\frac{dy}{dx}\) = f’(x).e
f(x)
LOGARITHMIC FUNCTIONS
If y = ln x, then \(\frac{dy}{dx}\) = \(\frac{1}{x}\)
If y = ln[f(x)], then \(\frac{dy}{dx}\) = \(\frac{f’(x)}{f(x)}\)
TRIGONOMETRIC FUNCTIONS
If y = sin x, then \(\frac{dy}{dx}\) = cos x
If y = cos x, then \(\frac{dy}{dx}\) = –sin x
If y = tan x, then \(\frac{dy}{dx}\) = sec
2
x
If y = tan
–1
x, then \(\frac{dy}{dx}\) = \(\frac{1}{1+x^2}\)
PRODUCT RULE
If y = ab, then \(\frac{dy}{dx}\) = a\(\frac{db}{dx}\) + b\(\frac{da}{dx}\)
QUOTIENT RULE
If y = \(\frac{a}{b}\), then \(\frac{dy}{dx}\) = \(\frac {b\frac{da}{dx}–a\frac{db}{dx}}{b^2}\)
Past Papers Topic Wise Questions
A Level: Mathematics 9709 - Pure Mathematics 3
Differentiation | Simple Differentiation
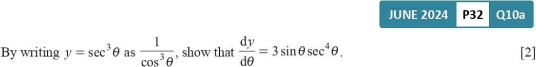
1
Marking Scheme
Marking Scheme : 1
×
Youtube : 1
×
2
Marking Scheme
Marking Scheme : 2
×
Youtube : 2
×
3
Marking Scheme
Marking Scheme : 3
×
Youtube : 3
×
4
Marking Scheme
Marking Scheme : 4
×
Youtube : 4
×