CAIE: A Level - Mathematics 9709 - Pure Mathematics 3

Integration / Further Questions

Past Papers Topic Wise Questions A Level: Mathematics 9709 - Pure Mathematics 3 Integration | Further Questions

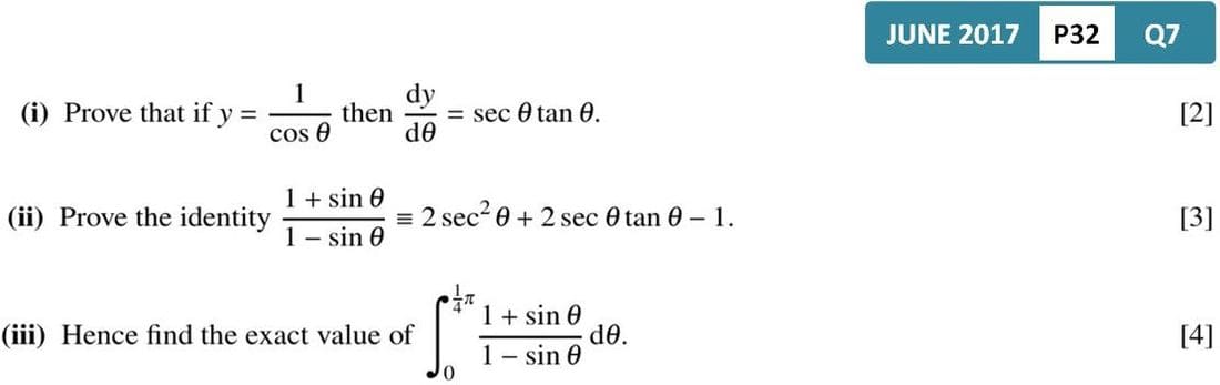
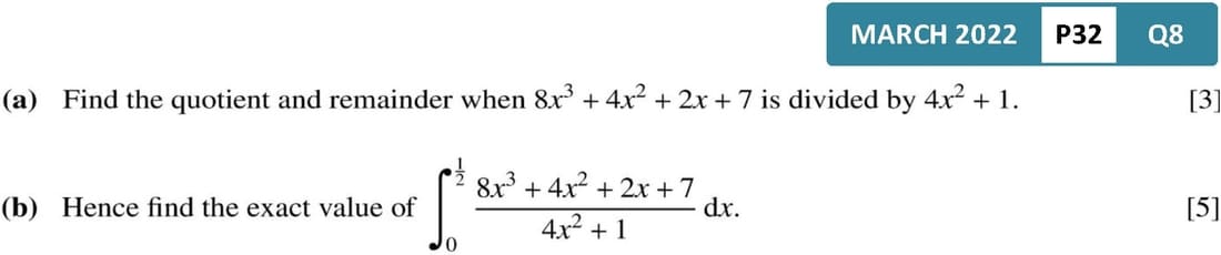
1
Marking Scheme
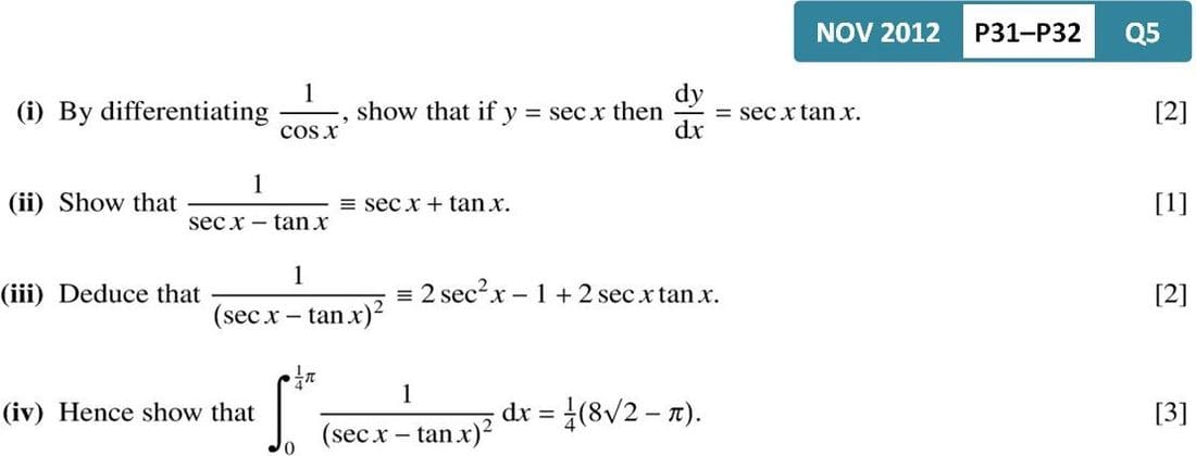
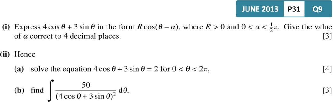
2
Marking Scheme
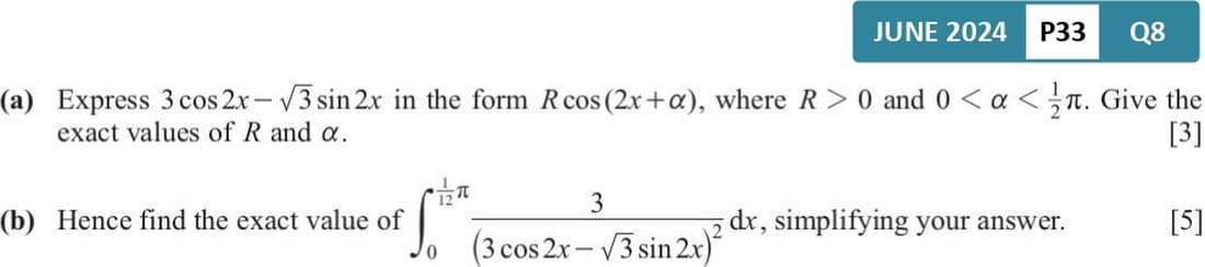
3
Marking Scheme
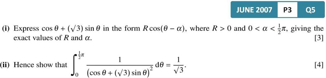
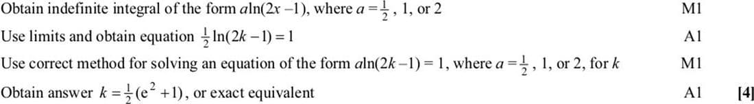
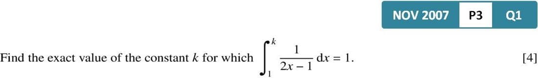
4
Marking Scheme
5
Marking Scheme
6
Marking Scheme
7
Marking Scheme
8
Marking Scheme
9
Marking Scheme
10
Marking Scheme
11
Marking Scheme
12
Marking Scheme
13
Marking Scheme