CAIE: A Level - Mathematics 9709 - Pure Mathematics 3

Integration / Integration by Parts / Simple Questions

  KEYPOINTS:  

Past Papers Topic Wise Questions A Level: Mathematics 9709 - Pure Mathematics 3 Integration | Integration by Parts

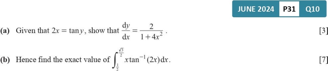
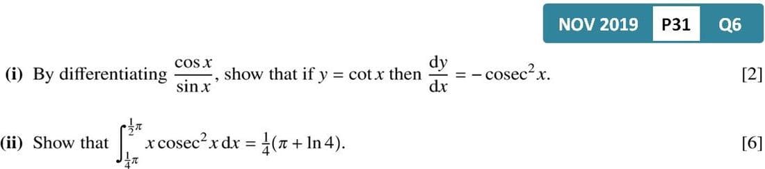
1
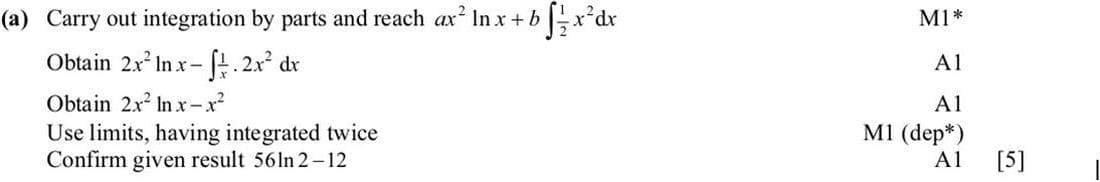
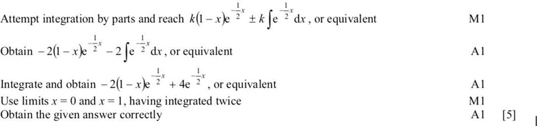
Marking Scheme
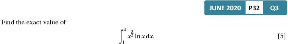
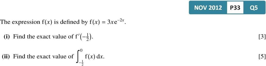
2
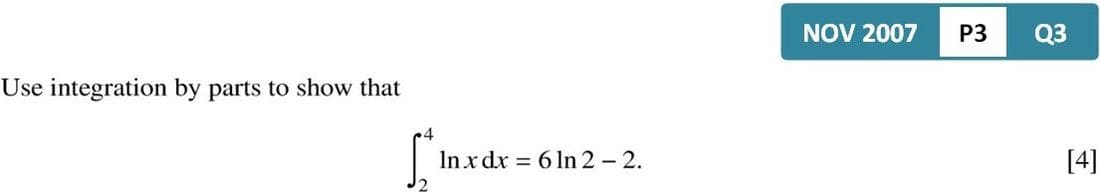
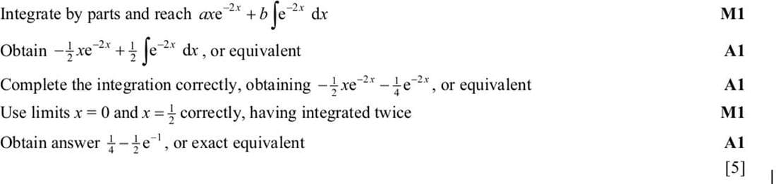
Marking Scheme
3
Marking Scheme
4
Marking Scheme
5
Marking Scheme
6
Marking Scheme
7
Marking Scheme
8
Marking Scheme
9
Marking Scheme
10
Marking Scheme
11
Marking Scheme
12
Marking Scheme
13
Marking Scheme
14
Marking Scheme
15
Marking Scheme
16
Marking Scheme
17
Marking Scheme
18
Marking Scheme
19
Marking Scheme
20
Marking Scheme
21
Marking Scheme
22
Marking Scheme
23
Marking Scheme
24
Marking Scheme
25
Marking Scheme
26
Marking Scheme
27
Marking Scheme
28
Marking Scheme
29
Marking Scheme