CAIE: A Level - Mathematics 9709 - Pure Mathematics 3

Logarithmic and Exponential Functions / Logarithmic Equations with 'ln' / Substitution

Past Papers Topic Wise Questions A Level: Mathematics 9709 - Pure Mathematics 3 Logarithmic and Exponential Functions | Logarithmic Equations with 'ln'

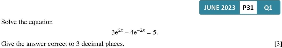
1
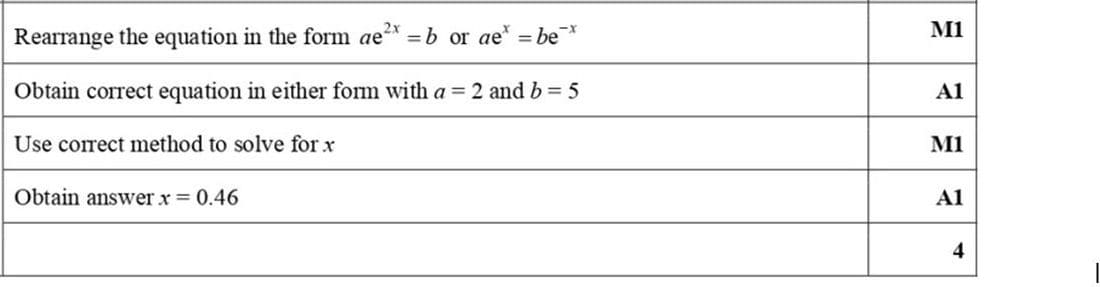
Marking Scheme
2
Marking Scheme
3
Marking Scheme
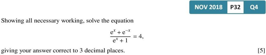
4
Marking Scheme
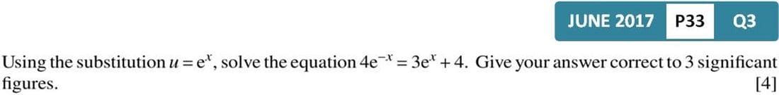
5
Marking Scheme
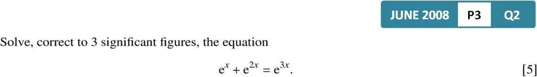
6
Marking Scheme
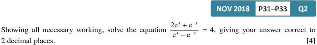
7
Marking Scheme
8
Marking Scheme
9
Marking Scheme