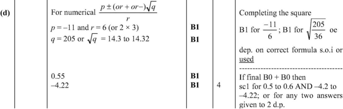
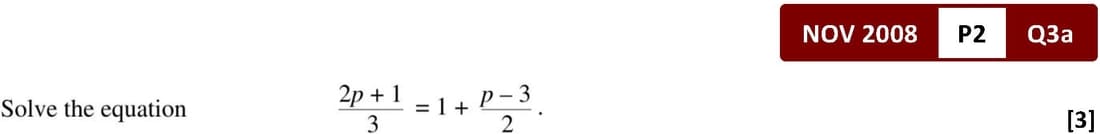
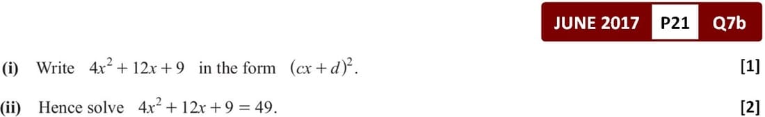
♦ Solve linear equations in one unknown ♦ Solve quadratic equations by factorisation, completing the square or by use of the quadratic formula ♦ Converting quadratic equations into completed square form
Past Papers Topic Wise QuestionsO Level: Mathematics D 4024 - Paper 2Algebra | Algebraic Equations